Vitamine E
De stof vitamine E is in 1922 ontdekt in groene bladgroenten door Herbert Evans en Katherine Bishop van de Amerikaanse Berkeley Universiteit. In 1924 kreeg het de naam vitamine E, maar het wordt ook vaak aangeduid als tocoferol omdat deze stof een belangrijk effect leek te hebben op de vruchtbaarheid (’tokos’ en ‘phero’ betekenen in het Grieks ‘geboorte’ en ‘voortbrengen’).
Natuurlijke bronnen
Veel voedingsmiddelen, zoals volkoren producten, groene bladgroenten en avocado, bevatten vitamine E. Maar met name noten, zaden en hun oliën zijn bijzonder goede bronnen. Natuurlijke tocoferolen worden alleen gevormd in organismen die de capaciteit hebben tot fotosynthese. De vorming vindt namelijk plaats in de chloroplast (Colombo et al., 2010). Verschillende voedingsmiddelen kunnen ook (voornamelijk) verschillende vormen van vitamine E bevatten. Zo bevatten groene bladgroenten met name α-tocoferol, maar zijn fruit en zaden rijker aan γ-tocoferol.
Tekorten aan vitamine E worden gezien bij mensen met huidaandoeningen zoals eczeem, psoriasis of acne (Liu et al., 2021). Ook mensen met een verminderde voedingsinname, bijvoorbeeld door een bariatrische ingreep, lopen een verhoogd risico op het ontwikkelen van een tekort aan vitamine E (Sherf-Dagan et al., 2021).
Werkzame stoffen
Tocoferolen en tocotriënolen
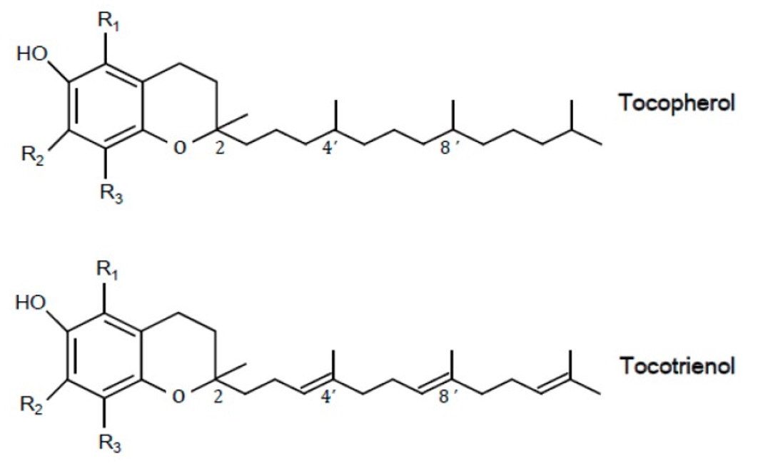
Vitamine E is een verzamelnaam voor 2 verschillende groepen van stoffen, namelijk de tocoferolen en de tocotriënolen.
Tocoferolen zijn verzadigde analogen van vitamine E en tocotriënolen zijn onverzadigde analogen.
Beide groepen bestaan uit vier varianten:
- α-, β-, γ- en δ-tocoferol
- α-, β-, γ- en δ-tocotriënol
In totaal zijn er dus acht verschillende vormen van vitamine E.
Na inname blijft voornamelijk α-tocoferol in het lichaam. Dat komt doordat het α-tocoferoltransfer-eiwit in de lever deze vorm selectief bindt. Door deze binding wordt afbraak tegengegaan. Hierdoor wordt deze vorm nogal eens gezien als de meest essentiële van de 8 vormen van vitamine E. Daarom wordt ook de term ‘vitamine E’ soms als synoniem voor enkel deze vorm gebruikt (Xiong et al., 2023) en richt het grootste deel van het wetenschappelijk onderzoek zich op deze specifieke vorm.
Tocoferolen en tocotriënolen zijn echter unieke stoffen met hun eigen, soms overlappende effect in het lichaam (Sen et al., 2006).

Figuur 1 – Chemische structuren van tocoferolen en tocotriënolen (Lee & Han, 2018).
Stereo-isomeren
Er bestaan verschillende stereo-isomeren van tocoferolen en tocotriënolen.
Stereo-isomeren zijn moleculen met:
- dezelfde molecuulformule
- dezelfde volgorde van atomen
- maar een verschillende ruimtelijke structuur
Die ruimtelijke structuur is belangrijk, omdat het lichaam deze vormen niet in elkaar kan omzetten. Receptoren herkennen vaak slechts één specifieke stereo-isomeer.
Natuurlijk versus synthetisch α-tocoferol
De natuurlijke vorm van α-tocoferol is bijvoorbeeld RRR-α-tocoferol (ook wel aangeduid als d-α-tocoferol). Synthetisch geproduceerde α-tocoferol is een mix van alle 8 mogelijke stereo-isomeren in gelijke delen. Deze vorm wordt aangeduid als all-racemic, all-rac of dl-α-tocoferol. Dit onderscheid is belangrijk voor de werking in het lichaam. Bij dierstudies blijkt de natuurlijke RRR-vorm van α-tocoferol bijvoorbeeld 1,36 keer krachtiger te werken dan de all-rac vorm. Ook tocotriënolen kunnen voorkomen in 4 verschillende stereo-isomeren, maar er is nog geen wetenschappelijk onderzoek naar verschillen in hun werking (Colombo et al., 2010).
Werking in het lichaam
Vitamine E is een van de meest voorkomende antioxidanten in de natuur. In ons lichaam komt het vooral voor in vetrijke structuren zoals het sarcoplasmatisch reticulum. Tocoferolen werken als sterke antioxidanten door vrije radicalen weg te vangen in membranen en lipoproteïnes. Ze vangen vetzuur-peroxyl radicalen weg waardoor er tocoferoxyl radicalen ontstaan. Deze kunnen worden gereduceerd door andere antioxidanten zoals vitamine C of ubiquinol waardoor het tocoferolmolecuul opnieuw beschikbaar komt om nieuwe radicalen af te vangen (Higgins et al., 2020). Door de vorming van tocoferoxyl moleculen wordt de oxidatie van onverzadigde vetzuren dus geremd. Tocotriënolen zijn superieur in hun antioxidatieve en ontstekingsremmende werking ten opzichte van α-tocoferol (Peh et al., 2016).
Daarnaast moduleert vitamine E de activiteit van verschillende enzymen waardoor genexpressie kan worden beïnvloed. Dit doet het bijvoorbeeld door direct te binden met de enzymen of door de regulatie van redoxreacties. Zo remmen tocoferolen de activiteit van protein kinase C (PKC), 5-lipoxygenase en fosfolipase A2 en de bloedstolling. Ook kunnen ze de proliferatie van monocyten, macrofagen, neutrofielen en glad spierweefsel in de bloedvaten verminderen evenals de productie van superoxideproductie in neutrofielen en macrofagen (Lee & Han, 2018). Tocotriënolen hebben vergelijkbare effecten, maar ook effecten die tocoferolen niet hebben. Zo kunnen ze het cholesterol verlagen door remming van 3-hydroxy-3-methylglutaryl-coenzym A, remmen ze ontstekingsreacties door het inhiberen van de transcriptiefactor NF-kB en beschermen ze tegen schade door straling (Peh et al., 2016).
Gezondheidseffecten (toepassingen, effecten en studies)
Hart- en vaatziekten
Hart- en vaatziekten zijn de belangrijkste doodsoorzaak in Nederland en omvatten verschillende aandoeningen die het hart en de bloedvaten aantasten. Verschillende onderzoeken tonen een beschermend effect aan van suppletie met vitamine E bij sommige van deze aandoeningen. Zo blijkt uit de resultaten van een systematische review dat vitamine E-suppletie (33-800 IU) een beschermend effect heeft op het risico op een hartinfarct. Niet alleen het aantal hartinfarcten nam af, maar ook het aantal hartinfarcten met dodelijke afloop verminderde in de interventiegroep (Loffredo et al., 2015).
C-reactief proteïne (CRP) is een eiwit dat door de lever wordt aangemaakt in reactie op ontstekingen in het lichaam. Het wordt gebruikt als een maat voor laaggradige ontstekingen in het lichaam die kunnen leiden tot een verhoogd risico op hart- en vaatziekten. Uit een meta-analyse van klinische onderzoeken bleek dat de CRP-waardes significant verlaagde na suppletie met vitamine E. Daarentegen was het effect van vitamine E op de waardes van IL-6 en TNF-α, andere markers voor chronische ontstekingen, niet significant (Asbaghi et al., 2020). Ook de effecten op ApoA1 en ApoB waren niet significant (Hamedi-Kalajahi et al., 2021). Daarnaast kan suppletie met vitamine E wel de endotheelfunctie beschermen (Ashor et al., 2015) en de bloeddruk verlagen (Emami et al., 2019).
De verschillende vormen van vitamine E kunnen echter een verschillend effect hebben. Uit een systematische review van klinische onderzoeken bleek bijvoorbeeld dat tocotriënolen veilig en effectief zijn bij atherosclerose. Een dosis van 250 mg per dag verlaagt het cholesterol en verschillende inflammatoire markers (CRP, malondialdehyde, gamma-glutamyl transferase). Bij het gebruik van tocoferolen zijn echter tegenstrijdige effecten gevonden, waarbij het soms een beschermend maar soms ook een risicoverhogend effect lijkt te hebben (Rafique et al., 2024).
Neurologische & cognitieve effecten
Ook op het gebied van neurologische effecten is het verschil tussen tocoferolen en tocotriënolen belangrijk. Tocoferolen, en in het bijzonder α- en γ-tocoferolen, zijn gerelateerd aan betere cognitieve prestaties, minder neuro-inflammatie en het behoud van synaptische eiwitten. Tocotriënolen hebben ontstekingsremmende en antioxidatieve eigenschappen en de aanwezigheid van tocotriënolen in specifieke hersengebieden is gerelateerd aan bescherming van de structuur, met name het behoud van de witte massa (Razali et al., 2025).
α- en γ-tocotriënolen stimuleren de expressie van tyrosine hydroxylase en dopaminerge neuronen (Kumari et al., 2021). Tyrosine hydroxylase is een cruciaal enzym voor de omzetting van L-tyrosine naar levodopa, de voorloper van de neurotransmitter dopamine. Hierdoor kan vitamine E mogelijk ook een rol spelen bij het ontstaan en behandelen van de ziekte van Parkinson. Dit komt ook terug bij Chinese observationele onderzoeken waaruit bleek dat mensen met een hogere inname van vitamine E een lager risico hadden op het ontwikkelen van de ziekte van Parkinson (Niu et al., 2024; Hao et al., 2024). Klinische onderzoeken waarbij het effect van suppletie met enkel vitamine E werd bekeken, ontbreken vooralsnog.
Vitamine E lijkt een beschermend effect te hebben tegen hyperfosforylatie van het tau-eiwit en daarnaast lijkt het verschillende enzymen te kunnen remmen, zoals cyclo-oxygenases. Deze enzymen zijn betrokken bij neuro-inflammatie en oxidatieve stress. Observationele onderzoeken tonen aan dat patiënten met de ziekte van Alzheimer lagere vitamine E-gehaltes hebben in het hersenvocht. Daarnaast zijn lagere serum vitamine E waardes bij andere van deze onderzoeken in verband gebracht met een hoger risico op het ontwikkelen van de ziekte van Alzheimer. Een gunstig effect van suppletie met vitamine E lijkt vooralsnog niet aantoonbaar, terwijl een hogere inname van vitamine E uit de voeding wel beschermend lijkt te kunnen werken. Klinische onderzoeken die verder kijken dan suppletie met enkel α-tocoferol ontbreken vooralsnog, waardoor het effect van suppletie op het voorkomen of verlichten van symptomen van de ziekte van Alzheimer nog onduidelijk blijft (Browne et al., 2019).
Menopauze
Tijdens de menopauze vinden er allerlei veranderingen plaats in het vrouwelijk lichaam die samenhangen met veranderingen in de hormoonhuishouding. Er zijn dan verhoogde niveaus van het follikelstimulerend hormoon (FSH) terwijl de oestrogeenniveaus afnemen. Deze periode kan gepaard gaan met symptomen zoals opvliegers, stemmingswisselingen, vermoeidheid en vaginaal ongemak. Deze symptomen kunnen worden bestreden met hormoontherapie (oestrogeen en progesteron), maar niet iedereen kan of wil deze therapievorm gebruiken. Suppletie met vitamine E lijkt echter ook klachten zoals opvliegers, plasma-lipideniveaus en vaginaal ongemak te kunnen verminderen. In vergelijking blijft oestrogeentherapie effectiever, maar vitamine E kan mogelijk worden ingezet bij mensen met milde klachten die geen hormoontherapie kunnen of willen (Feduniw et al., 2022).
Premenstrueel syndroom
Premenstrueel syndroom (PMS) bestaat uit een verzameling van lichamelijke en emotionele klachten die vrouwen 1-2 weken voor hun menstruatie ervaren. Lichamelijke klachten kunnen bestaan uit gevoelige borsten, hoofdpijn, buikpijn en een opgeblazen gevoel terwijl emotionele klachten kunnen variëren van prikkelbaarheid en stemmingswisselingen tot vermoeidheid en angst of depressieve gevoelens. Bij een kleinschalig Japans onderzoek namen 51 vrouwen met PMS tweemaal per dag 180 mg γ-tocoferol gedurende 7 dagen tijdens hun luteale fase. Dit verlaagde de door PMS ervaren vermoeidheid en geïrriteerdheid bij deze groep vrouwen significant. Ook klachten door het vasthouden van vocht verminderde door de vitamine E-suppletie in dit onderzoek (Higuchi et al., 2023).
Menstruatiepijn (dysmenorroe)
Naast PMS hebben veel vrouwen last van een pijnlijke menstruatie, ook wel dysmenorroe genoemd. Het kan gaan om pijn in de buik of rug, maar ook om misselijkheid. Dit wordt toegeschreven aan de verhoogde productie van prostaglandines tijdens de menstruatie. Doordat vitamine E als antioxidant de afgifte van arachidonzuur remt, wordt ook de omzetting van arachidonzuur tot prostaglandines geremd. Klinische onderzoeken tonen dan ook aan dat suppletie met vitamine E (200-500 IU) mogelijk effectief is bij het verminderen van de klachten van dysmenorroe (Alikamali et al., 2022; Sadeghi et al., 2018; Ziaei et al., 2005; Ziaei et al., 2001).
Mastalgie
Pijnlijke borsten, ofwel mastalgie genoemd, komen veel voor. De pijn kan samenhangen met de menstruatiecyclus, maar kan ook los daarvan bestaan. Circa 70% van de vrouwen heeft er op enig moment in haar leven mee te maken. Uit de resultaten van een systematische review blijkt dat suppletie met vitamine E zowel de ernst van de pijn als de duur van een pijnepisode kan verminderen (Hajizadeh et al., 2019).
Huidaandoeningen
Door de rol die vitamine E speelt bij het onderhouden van de celmembranen wordt het vaak gerelateerd aan huidaandoeningen en daardoor ook vaak toegepast in cosmetische producten. Lagere serum vitamine E niveaus zijn ook gelinkt aan verschillende aandoeningen van de huid, zoals vitiligo, psoriasis, atopisch eczeem en acne (Liu et al., 2021). Enkele andere onderzoeken tonen aan dat suppletie met vitamine E een gunstig effect heeft bij atopisch eczeem en psoriasis (Berardesca & Cameli, 2021), maar meer onderzoek naar dit verband en het effect van suppletie met vitamine E bij andere huidaandoeningen is nodig.
Spieren
Spierpijn of myalgie kan ontstaan na overbelasting of intensieve fysieke activiteit. Het kan variëren in intensiteit en ook worden veroorzaakt door (kleine) beschadigingen aan de spier of ontstekingsreacties in de spier. Vitamine E speelt als antioxidant een belangrijke rol bij het verminderen van oxidatieve schade door (overmatige) belasting van de spier (Higgins et al., 2020). Suppletie met vitamine E in dosering tot 500 IE per dag kan beschadigingen van de spieren voorkomen (gemeten als het gehalte aan creatine kinase en lactaat dehydrogenase). Dit effect lijkt sterker te zijn bij getrainde sporters en atleten dan bij minder getrainde mensen (Kim et al., 2022).
Chemotherapie-geïnduceerde perifere neuropathie
Chemotherapie-geïnduceerde perifere neuropathie (CIPN) is een veelvoorkomende bijwerking van chemotherapie. Het ontstaat doordat zenuwcellen in het perifere zenuwstelsel beschadigd raken door de chemotherapie. Hierdoor kunnen gevoelsstoornissen, pijn en motorische problemen ontstaan. CIPN heeft een grote impact op de levenskwaliteit van patiënten en de symptomen kunnen maanden of zelfs jaren na de behandeling aanhouden. Bij een systematische review bleek suppletie met vitamine E het optreden van CIPN verminderde en de symptomen ervan verbeterde (Chen et al., 2021).
Nierpatiënten
Dialyse is een belangrijke behandelvorm voor patiënten met ernstig nierfalen (meestal bij nog maar 10-15% nierfunctie). Bij hemodialyse worden afvalstoffen en overtollig vocht uit het bloed verwijderd via een speciaal apparaat (kunstnier). Patiënten die hemodialyse ondergaan, lopen een verhoogd risico op het ontwikkelen van cardiovasculaire aandoeningen. Een verhoging van de oxidatieve stress en het aantal ontstekingsreacties bij deze groep kan dit verhoogde risico mogelijk deels verklaren (Liakopoulos et al., 2017). Suppletie met vitamine E kan de oxidatieve stress en de ontstekingsreacties bij deze patiënten verlagen (Nguyen et al., 2021) waarmee het risico op het ontwikkelen van cardiovasculaire aandoeningen bij deze groep kan worden verminderd. Daarnaast verlaagt suppletie met vitamine E in combinatie met voldoende hydratatie het aantal gevallen van contrast-induced acute kidney injury (CI-AKI) (Cho et al., 2017). CI-AKI is een aandoening waarbij acute nierinsufficiëntie optreedt als gevolg van blootstelling aan contrastmedicatie.
Niet-alcoholische leververvetting
Bij niet-alcoholische leververvetting slaat de lever te veel vet op in de (lever)cellen waardoor het functioneren van deze cellen bemoeilijkt kan worden. Het kan leiden tot complicaties zoals een leverontsteking, littekenvorming en leverfalen. Patiënten met niet-alcoholische leververvetting die vitamine E-suppletie kregen hadden lagere waardes van leverenzymen dan patiënten die geen vitamine E-suppletie namen (Vadarlis et al., 2021). Bij kinderen met niet-alcoholische leververvetting lijkt suppletie met vitamine E echter geen toegevoegde waarde te hebben (Sarkhy et al., 2014).
Oogaandoeningen
Door de antioxidatieve werking van vitamine E is er ook interesse voor gunstige effecten ervan bij oogaandoeningen. Preklinische onderzoeken tonen bijvoorbeeld aan dat tocoferolen en tocotriënolen de oogdruk kunnen verlagen, maar klinische onderzoeken naar het effect van vitamine E bij aandoeningen zoals glaucoom ontbreken vooralsnog (Latib et al., 2024). Tocoferolen, en α-tocoferol in het bijzonder, stimuleren de doorbloeding van het oog en bevorderen de overleving van retinale ganglioncellen. Tocotriënolen hebben daarentegen een superieure antioxidatieve activiteit en werken potentieel neuroprotectief (Latib et al., 2025).
Bij leeftijdsgebonden maculadegeneratie zijn er wel observationele onderzoeken die een verband aantonen met vitamine E inname. Leeftijdsgebonden maculadegeneratie is een veelvoorkomende aandoening van het netvlies bij ouderen. Hierdoor worden beelden vervormd en dagelijkse bezigheden zoals lezen bemoeilijkt. Een hogere inname van vitamine E is ook gerelateerd aan een lager risico op het ontwikkelen van leeftijdsgebonden maculadegeneratie. Dit geldt zowel voor vitamine E uit de voeding als voor vitamine E uit supplementen. Daarbij komt ook nog eens dat hogere serum tocoferol waardes gerelateerd worden aan een lager risico op leeftijdsgebonden maculadegeneratie (Zhang et al., 2015).
Bijwerkingen, interacties, contra-indicaties en waarschuwingen
Bijwerkingen
Over het algemeen wordt vitamine E goed verdragen. Zeldzame bijwerkingen bestaan uit bloedingen, hersenbloedingen en cardiovasculaire complicaties (zoals een hartaanval). Deze worden over het algemeen gezien wanneer een hogere dosering (>400 IU/dag) wordt genomen gedurende een langere periode, maar het beeld is niet eenduidig. Zo zijn er ook onderzoeken waarbij geen nadelige effecten zijn gevonden van een dosering van 600 IU per dag gedurende 10 jaar.
Interacties met reguliere medicijnen
In theorie kan vitamine E het metabolisme door CYP3A4 activeren waardoor de omzetting van andere substraten zoals medicatie vermindert kan worden. Andere medicijnen waarmee vitamine kan interacteren zijn (Natural Medicines, 2026):
- Bloedverdunners (en warfarine)
Gelijktijdig gebruik van bloedverdunners en vitamine E kan het risico op bloedingen verhogen. - Kankerremmende medicatie (alkylerende middelen, antitumor middelen)
Antioxidanten zoals vitamine E kunnen de effectiviteit van kankerremmende medicatie verminderen. Gelijktijdig gebruik wordt dan ook afgeraden. - Cyclosporine
Een specifieke vorm van vitamine E (D-α-tocoferyl-polyethyleen glycol-1000 succinaat, TPGS, tocophersolan, Liqui-E) kan de opname van cyclosporine sterk verhogen (40-72%). Het is echter niet waarschijnlijk dat deze reactie optreedt bij het gebruik van andere vormen van vitamine E. - Selumetinib
Gelijktijdig gebruik kan de aanbevolen dagelijkse hoeveelheid vitamine E sterk overschrijden waardoor een verhoogd risico op bloedingen ontstaat.
Daarnaast zijn er verschillende medicijnen die het risico op een tekort aan vitamine E kunnen verhogen (Natural Medicines, 2026):
- Alkylerende middelen
Deze worden ingezet bij chemotherapie kunnen het serum vitamine E-gehalte verlagen, voornamelijk wanneer ze in hoge doseringen worden ingezet. - Galzuursequestranten, orlistat
Deze kunnen vitamine E-gehaltes verlagen doordat ze de opname van vetten tegengaan en vitamine E als vet-oplosbare vitamine kan hierdoor ook minder goed opgenomen worden (7-20% minder). Dit effect lijkt mee te vallen, maar bij patiënten met een lage vitamine E serumwaardes die deze middelen gedurende meerdere jaren nemen kan het raadzaam zijn om suppletie te overwegen. - Anti-epileptica (carbamazepine, fenobarbital en fenytoïne)
Kinderen die gebruik maakten van deze medicatie kunnen verlaagde serum vitamine E-waardes hebben (9-26%).
Bij gebruik met andere (kruiden)supplementen
- β-caroteen
Vitamine E kan de gehaltes van β-caroteen verlagen, mogelijk door competitie in de opname via micellen door beide stoffen. Bij een inname van 800 IU vitamine E lijken de plasma waardes van β-caroteen met circa 20% te kunnen verlagen en bij hogere doses wordt een sterkere daling verwacht (Natural Medicines, 2026). - IJzer
Hoge doseringen van vitamine E kunnen de therapeutische effecten van ijzersuppletie bij kinderen verminderen (Natural Medicines, 2026) - Niacine
Vitamine E kan de gunstige effecten van niacine op het HDL cholesterol verminderen bij gelijktijdig gebruik (Natural Medicines, 2026). - Vitamine K
Vitamine E vermindert de opname van vitamine K en bindt aan enzymen die afhankelijk zijn van vitamine K. Hierdoor kunnen hoge doseringen vitamine E (vanaf 800 IU per dag) leiden tot een verminderd effect van vitamine K en een hoger risico op bloedingen geven (Natural Medicines, 2026).
Contra-indicaties
- Bloedingsstoornissen en voor operaties
Doseringen van 1000 IU per dag (of hoger) kunnen stollingsfactoren die van vitamine K afhankelijk zijn remmen bij gezonde volwassenen. Hoe dit uitpakt bij mensen met een bloedingsstoornis is nog niet onderzocht (Booth et al., 2004). Om dezelfde reden wordt ook geadviseerd om suppletie met vitamine E 2 weken voor een operatie te stoppen. - Cardiovasculaire aandoeningen en diabetes
Uit een observationeel onderzoek blijkt dat ouderen met cardiovasculaire aandoeningen die hoge doseringen vitamine E suppleren een hoger risico hebben op ernstige cardiovasculaire crises zoals een beroerte of een hartinfarct (Hayden et al., 2007). Daarnaast blijkt dat diabetespatiënten of patiënten met cardiovasculaire aandoeningen een verhoogd risico hebben op hartfalen of een ziekenhuisopname gerelateerd aan hartproblemen wanneer ze 400 IU RRR-α-tocoferol nemen (Lonn et al., 2005).
Bronvermelding
- Alikamali, M., Mohammad-Alizadeh-Charandabi, S., Maghalian, M., & Mirghafourvand, M. (2022). The effects of vitamin E on the intensity of primary dysmenorrhea: A systematic review and meta-analysis. Clinical nutrition ESPEN, 52, 50–59. https://doi.org/10.1016/j.clnesp.2022.10.001
- Asbaghi, O., Sadeghian, M., Nazarian, B., Sarreshtedari, M., Mozaffari-Khosravi, H., Maleki, V., Alizadeh, M., Shokri, A., & Sadeghi, O. (2020). The effect of vitamin E supplementation on selected inflammatory biomarkers in adults: a systematic review and meta-analysis of randomized clinical trials. Scientific reports, 10(1), 17234. https://doi.org/10.1038/s41598-020-73741-6
- Ashor, A. W., Siervo, M., Lara, J., Oggioni, C., Afshar, S., & Mathers, J. C. (2015). Effect of vitamin C and vitamin E supplementation on endothelial function: a systematic review and meta-analysis of randomised controlled trials. The British journal of nutrition, 113(8), 1182–1194. https://doi.org/10.1017/S0007114515000227
- Berardesca, E., & Cameli, N. (2021). Vitamin E supplementation in inflammatory skin diseases. Dermatologic therapy, 34(6), e15160. https://doi.org/10.1111/dth.15160
- Booth, S. L., Golly, I., Sacheck, J. M., Roubenoff, R., Dallal, G. E., Hamada, K., & Blumberg, J. B. (2004). Effect of vitamin E supplementation on vitamin K status in adults with normal coagulation status. The American journal of clinical nutrition, 80(1), 143–148. https://doi.org/10.1093/ajcn/80.1.143
- Browne, D., McGuinness, B., Woodside, J. V., & McKay, G. J. (2019). Vitamin E and Alzheimer’s disease: what do we know so far?. Clinical interventions in aging, 14, 1303–1317. https://doi.org/10.2147/CIA.S186760
- Chen, J., Shan, H., Yang, W., Zhang, J., Dai, H., & Ye, Z. (2021). Vitamin E for the Prevention of Chemotherapy-Induced Peripheral Neuropathy: A meta-Analysis. Frontiers in pharmacology, 12, 684550. https://doi.org/10.3389/fphar.2021.684550
- Cho, M. H., Kim, S. N., Park, H. W., Chung, S., & Kim, K. S. (2017). Could Vitamin E Prevent Contrast-Induced Acute Kidney Injury? A Systematic Review and Meta-Analysis. Journal of Korean medical science, 32(9), 1468–1473. https://doi.org/10.3346/jkms.2017.32.9.1468
- Colombo M. L. (2010). An update on vitamin E, tocopherol and tocotrienol-perspectives. Molecules (Basel, Switzerland), 15(4), 2103–2113. https://doi.org/10.3390/molecules15042103
- Emami, M. R., Safabakhsh, M., Alizadeh, S., Asbaghi, O., & Khosroshahi, M. Z. (2019). Effect of vitamin E supplementation on blood pressure: a systematic review and meta-analysis. Journal of human hypertension, 33(7), 499–507. https://doi.org/10.1038/s41371-019-0192-0
- Feduniw, S., Korczyńska, L., Górski, K., Zgliczyńska, M., Bączkowska, M., Byrczak, M., Kociuba, J., Ali, M., & Ciebiera, M. (2022). The Effect of Vitamin E Supplementation in Postmenopausal Women-A Systematic Review. Nutrients, 15(1), 160. https://doi.org/10.3390/nu15010160
- Hajizadeh, K., Alizadeh Charandabi, S. M., Hasanzade, R., & Mirghafourvand, M. (2019). Effect of vitamin E on severity and duration of cyclic mastalgia: A systematic review and meta-analysis. Complementary therapies in medicine, 44, 1–8. https://doi.org/10.1016/j.ctim.2019.03.014
- Hao, X., Li, H., Li, Q., Gao, D., Wang, X., Wu, C., Wang, Q., & Zhu, M. (2024). Dietary vitamin E intake and risk of Parkinson’s disease: a cross-sectional study. Frontiers in nutrition, 10, 1289238. https://doi.org/10.3389/fnut.2023.1289238
- Hayden, K. M., Welsh-Bohmer, K. A., Wengreen, H. J., Zandi, P. P., Lyketsos, C. G., Breitner, J. C., & Cache County Investigators (2007). Risk of mortality with vitamin E supplements: the Cache County study. The American journal of medicine, 120(2), 180–184. https://doi.org/10.1016/j.amjmed.2006.03.039
- Hamedi-Kalajahi, F., Zarezadeh, M., Dehghani, A., Musazadeh, V., Kolahi, A., Shabbidar, S., & Djafarian, K. (2021). A systematic review and meta-analysis on the impact of oral vitamin E supplementation on apolipoproteins A1 and B100. Clinical nutrition ESPEN, 46, 106–114. https://doi.org/10.1016/j.clnesp.2021.09.013
- Higuchi, T., Ueno, T., Uchiyama, S., Matsuki, S., Ogawa, M., & Takamatsu, K. (2023). Effect of γ-tocopherol supplementation on premenstrual symptoms and natriuresis: a randomized, double-blind, placebo-controlled study. BMC complementary medicine and therapies, 23(1), 136. https://doi.org/10.1186/s12906-023-03962-5
- Higgins, M. R., Izadi, A., & Kaviani, M. (2020). Antioxidants and Exercise Performance: With a Focus on Vitamin E and C Supplementation. International journal of environmental research and public health, 17(22), 8452. https://doi.org/10.3390/ijerph17228452
- Kim, M., Eo, H., Lim, J. G., Lim, H., & Lim, Y. (2022). Can Low-Dose of Dietary Vitamin E Supplementation Reduce Exercise-Induced Muscle Damage and Oxidative Stress? A Meta-Analysis of Randomized Controlled Trials. Nutrients, 14(8), 1599. https://doi.org/10.3390/nu14081599
- Kumari, M., Ramdas, P., Radhakrishnan, A. K., Kutty, M. K., & Haleagrahara, N. (2021). Tocotrienols Ameliorate Neurodegeneration and Motor Deficits in the 6-OHDA-Induced Rat Model of Parkinsonism: Behavioural and Immunohistochemistry Analysis. Nutrients, 13(5), 1583. https://doi.org/10.3390/nu13051583
- Latib, F., Zafendi, M. A. I., & Mohd Lazaldin, M. A. (2024). The use of vitamin E in ocular health: Bridging omics approaches with Tocopherol and Tocotrienol in the management of glaucoma. Food chemistry. Molecular sciences, 9, 100224. https://doi.org/10.1016/j.fochms.2024.100224
- Latib, F., Zafendi, M. A. I., & Mohd Lazaldin, M. A. (2025). Therapeutic Potential of Tocopherol and Tocotrienol in Glaucoma Management. Drug design, development and therapy, 19, 10175–10194. https://doi.org/10.2147/DDDT.S556831
- Liakopoulos, V., Roumeliotis, S., Gorny, X., Dounousi, E., & Mertens, P. R. (2017). Oxidative Stress in Hemodialysis Patients: A Review of the Literature. Oxidative medicine and cellular longevity, 2017, 3081856. https://doi.org/10.1155/2017/3081856
- Liu, X., Yang, G., Luo, M., Lan, Q., Shi, X., Deng, H., Wang, N., Xu, X., & Zhang, C. (2021). Serum vitamin E levels and chronic inflammatory skin diseases: A systematic review and meta-analysis. PloS one, 16(12), e0261259. https://doi.org/10.1371/journal.pone.0261259
- Loffredo, L., Perri, L., Di Castelnuovo, A., Iacoviello, L., De Gaetano, G., & Violi, F. (2015). Supplementation with vitamin E alone is associated with reduced myocardial infarction: a meta-analysis. Nutrition, metabolism, and cardiovascular diseases : NMCD, 25(4), 354–363. https://doi.org/10.1016/j.numecd.2015.01.008
- Lonn, E., Bosch, J., Yusuf, S., Sheridan, P., Pogue, J., Arnold, J. M., Ross, C., Arnold, A., Sleight, P., Probstfield, J., Dagenais, G. R., & HOPE and HOPE-TOO Trial Investigators (2005). Effects of long-term vitamin E supplementation on cardiovascular events and cancer: a randomized controlled trial. JAMA, 293(11), 1338–1347. https://doi.org/10.1001/jama.293.11.1338
- Natural Medicines (2026) Monograph Vitamin E, Natural medicines, geraadpleegt op 3 februari 2026 van: https://naturalmedicines.therapeuticresearch.com/Data/ProMonographs/Vitamin-E
- Nguyen, T. T. U., Yeom, J. H., & Kim, W. (2021). Beneficial Effects of Vitamin E Supplementation on Endothelial Dysfunction, Inflammation, and Oxidative Stress Biomarkers in Patients Receiving Hemodialysis: A Systematic Review and Meta-Analysis of Randomized Controlled Trials. International journal of molecular sciences, 22(21), 11923. https://doi.org/10.3390/ijms222111923
- Niu, F., Xie, W., Zhang, W., Kawuki, J., & Yu, X. (2024). Vitamin C, vitamin E, β-carotene and risk of Parkinson’s disease: a systematic review and dose-response meta-analysis of observational studies. Nutritional neuroscience, 27(4), 329–341. https://doi.org/10.1080/1028415X.2023.2192561
- Peh, H. Y., Tan, W. S., Liao, W., & Wong, W. S. (2016). Vitamin E therapy beyond cancer: Tocopherol versus tocotrienol. Pharmacology & therapeutics, 162, 152–169. https://doi.org/10.1016/j.pharmthera.2015.12.003
- Rafique, S., Khan, D. A., Farhat, K., Khan, M. A., Noor, M., & Sharif, M. (2024). Comparative efficacy of tocotrienol and tocopherol (vitamin E) on atherosclerotic cardiovascular diseases in humans. JPMA. The Journal of the Pakistan Medical Association, 74(6), 1124–1129. https://doi.org/10.47391/JPMA.9227
- Razali, R. A., Ngah, W. Z. W., Makpol, S., Yanagisawa, D., Kato, T., & Tooyama, I. (2025). Shifting Perspectives on the Role of Tocotrienol vs. Tocopherol in Brain Health: A Scoping Review. International journal of molecular sciences, 26(13), 6339. https://doi.org/10.3390/ijms26136339
- Sadeghi, N., Paknezhad, F., Rashidi Nooshabadi, M., Kavianpour, M., Jafari Rad, S., & Khadem Haghighian, H. (2018). Vitamin E and fish oil, separately or in combination, on treatment of primary dysmenorrhea: a double-blind, randomized clinical trial. Gynecological endocrinology : the official journal of the International Society of Gynecological Endocrinology, 34(9), 804–808. https://doi.org/10.1080/09513590.2018.1450377
- Sarkhy, A. A., Al-Hussaini, A. A., & Nobili, V. (2014). Does vitamin E improve the outcomes of pediatric nonalcoholic fatty liver disease? A systematic review and meta-analysis. Saudi journal of gastroenterology : official journal of the Saudi Gastroenterology Association, 20(3), 143–153. https://doi.org/10.4103/1319-3767.132983
- Sen, C. K., Khanna, S., & Roy, S. (2006). Tocotrienols: Vitamin E beyond tocopherols. Life sciences, 78(18), 2088–2098. https://doi.org/10.1016/j.lfs.2005.12.001
- Sherf-Dagan, S., Buch, A., Ben-Porat, T., Sakran, N., & Sinai, T. (2021). Vitamin E status among bariatric surgery patients: a systematic review. Surgery for obesity and related diseases : official journal of the American Society for Bariatric Surgery, 17(4), 816–830. https://doi.org/10.1016/j.soard.2020.10.029
- Vadarlis, A., Antza, C., Bakaloudi, D. R., Doundoulakis, I., Kalopitas, G., Samara, M., Dardavessis, T., Maris, T., & Chourdakis, M. (2021). Systematic review with meta-analysis: The effect of vitamin E supplementation in adult patients with non-alcoholic fatty liver disease. Journal of gastroenterology and hepatology, 36(2), 311–319. https://doi.org/10.1111/jgh.15221
- Xiong, Z., Liu, L., Jian, Z., Ma, Y., Li, H., Jin, X., Liao, B., & Wang, K. (2023). Vitamin E and Multiple Health Outcomes: An Umbrella Review of Meta-Analyses. Nutrients, 15(15), 3301. https://doi.org/10.3390/nu15153301
- Zhang, Y., Jiang, W., Xie, Z., Wu, W., & Zhang, D. (2015). Vitamin E and risk of age-related cataract: a meta-analysis. Public health nutrition, 18(15), 2804–2814. https://doi.org/10.1017/S1368980014003115
- Ziaei, S., Zakeri, M., & Kazemnejad, A. (2005). A randomised controlled trial of vitamin E in the treatment of primary dysmenorrhoea. BJOG : an international journal of obstetrics and gynaecology, 112(4), 466–469. https://doi.org/10.1111/j.1471-0528.2004.00495.x
- Ziaei, S., Faghihzadeh, S., Sohrabvand, F., Lamyian, M., & Emamgholy, T. (2001). A randomised placebo-controlled trial to determine the effect of vitamin E in treatment of primary dysmenorrhoea. BJOG : an international journal of obstetrics and gynaecology, 108(11), 1181–1183. https://doi.org/10.1111/j.1471-0528.2003.00279.x
